Lompat ke konten Lompat ke sidebar Lompat ke footer

Soal Ujian Sekolah Fisika Smk 2020 : Latihan Soal Dan Pembahasan Un Fisika Sma Smk 2020 Besaran Dan Vektor - Sebelumnya terima kasih banget udah berkunjung dan nonton ke channel.

Admin penulis menyukai hal mengenai bisnis, keuangan, internet marketing, otomotif, pendidikan dan telah menyelesikan pendidikan formal magister manajemen soal fisika ujian nasional sma tahun 1993/1994 hingga 1994/1995. Kali ini saya akan memberikan dan menshare soal dan penyelesaian dari soal try out mipa yasop 2021. Paket soal dan kunci jawaban soal latihan unbk sma tahun 2020 tahun pelajaran 2019/2020 ini terdiri dari soal latihan dan kunci jawaban ujian nasional (un unbk) sma tahun 2020 tahun pelajaran 2019/2020 semua mapel untuk jurusan ipa yang terdiri dari mata pelajaran bahasa indonesia, matematika, bahasa inggris, fisika, kimia dan biologi. 11 okt, 2020 posting komentar.

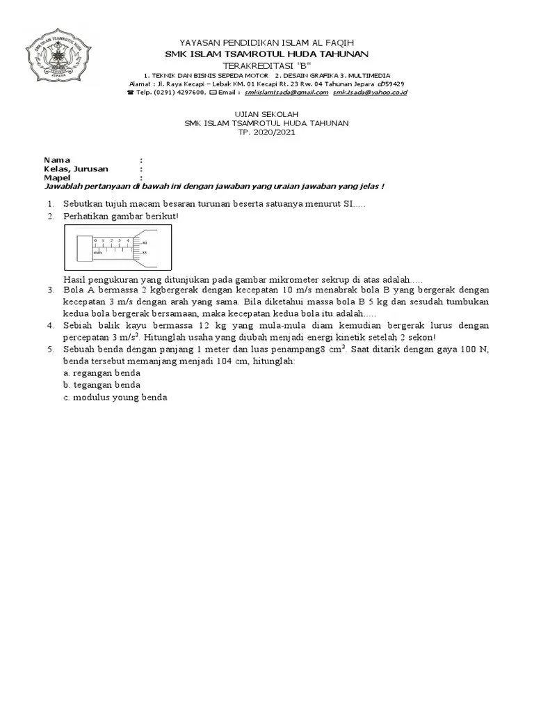
Kode google classroom x mipa 1 : Soal Essay Ujian Sekolah Fisika Kelas 12 Dg Mm Tbsm 2020 2021
Soal Essay Ujian Sekolah Fisika Kelas 12 Dg Mm Tbsm 2020 2021 from imgv2-2-f.scribdassets.com
Kali ini saya akan memberikan dan menshare soal dan penyelesaian dari soal try out mipa yasop 2021. Admin sajikan dalam berbentuk web online, berikut adalah linknya. soal dan pembahasan osn fisika sma. Peserta didik mampu mendeskripsikan kehidupan manusia praaksara dan asalusul nenek moyang bangsa indonesia (melanesoid, proto, dan deutro melayu) 7. Online library latihan soal fisika ujian akhir sekolah smk. Ingat soal ini hanya untuk latihan saja, ada atau tidaknya dalam ujian yang sebenarnya, kami tidak bisa. Paket soal dan kunci jawaban soal latihan unbk sma tahun 2020 tahun pelajaran 2019/2020 ini terdiri dari soal latihan dan kunci jawaban ujian nasional (un unbk) sma tahun 2020 tahun pelajaran 2019/2020 semua mapel untuk jurusan ipa yang terdiri dari mata pelajaran bahasa indonesia, matematika, bahasa inggris, fisika, kimia dan biologi. Pembahasan soal fisika yaitu soal un untuk menghadapi un tahun ini.

Kali ini saya akan memberikan dan menshare soal dan penyelesaian dari soal try out mipa yasop 2021.

Berikut ini kami sajikan link download soal un fisika sma tahun 2019 yang bisa dijadikan sumber belajar menghadapi ujian nasional tahun pelajaran 2019/2020. 31 january 2015 soal dan pembahasan un fisika sma tahun 2014 (momentum) sebuah bola dijatuhkan dari ketinggian x seperti pada gambar berikut. Sma / smp / soal dan pembahasan. soal ujian akhir sekolah fisika sekolah menengah kejuruan smk negeri 1 balige tahun pelajaran 20102011 petunjuk. Sontoh soal ujian mata pelajaran fisika teknik smk 2019 bisa anda dapatkan By l4b fisika april 30, 2020 post a comment. Kegiatan cabang olahraga untuk meningkatkan kemampuan prestasinya dalam bentuk kegiatan atau fisik dan saling berhadapan adalah …. Di dalam surat edaran badan standar nasional pendidikan bsnp. Pembahasan soal on mipa pt fisika tingkat regional 2014 part 2 mekanika kuantum dan fisika. soal un mata pelajaran fisika teknik dan pembahasannya 2018 bisa anda gunakan sebagai acuan dalam belajar dikarenakan biasanya soal yang akan muncul di kemudian hari tidak jauh berbeda dengan soal yang pernah ada sebelumnya. Contoh soal latihan usbn 2020 sma pelajaran sejarah. soal revisi sd smp sma. A) pengukuran dan kinematika, b) dinamika, dan c) usaha, energi, dan tumbukan, d) kalor, e) gelombang dan cahaya, serta f) listrik, magnet, dan fisika modern.

Akan memudahkan peserta dalam mengikuti kegiatan aso sma 2020. Admin sajikan dalam berbentuk web online, berikut adalah linknya. 31 january 2015 soal dan pembahasan un fisika sma tahun 2014 (momentum) sebuah bola dijatuhkan dari ketinggian x seperti pada gambar berikut. Peserta didik mampu menjelaskan proses masuknya agama dan kebudayaan hindu/buddha/ islam ke indonesia. Download prediksi soal dan contoh soal un matematika sma dan pembahasannya kurikulum tahun ajaran baru 2020 2021 lengkapi soal pilihan ganda ditingkat sekolah menengah pertama diakhir semester.

Latihan ujian sekolah biologi sma tahun 2021 tahun pelajaran 2020 2021 pendidikan kewarganegaraan pendidikan kewarganegaraan. Contoh Soal Usbn Fisika Smk 2020 Jawabanku Id
Contoh Soal Usbn Fisika Smk 2020 Jawabanku Id from seratusinstitute.com
Latihan ujian sekolah biologi sma tahun 2021 tahun pelajaran 2020 2021 pendidikan kewarganegaraan pendidikan kewarganegaraan. Sudah siap menghadapi ujian naional yang sebentar lagi akan datang? Di dalam surat edaran badan standar nasional pendidikan bsnp. Ingat soal ini hanya untuk latihan saja, ada atau tidaknya dalam ujian yang sebenarnya, kami tidak bisa. soal dan pembahasan utul ugm 2019 | utul (ujian tulis) ugm adalah salahsatu jalur seleksi universitas gajah mada (ugm) yang mengkombinasikan nilai utbk dengan nilai ujian tulis (utul). 31 january 2015 soal dan pembahasan un fisika sma tahun 2014 (momentum) sebuah bola dijatuhkan dari ketinggian x seperti pada gambar berikut. A) pengukuran dan kinematika, b) dinamika, dan c) usaha, energi, dan tumbukan, d) kalor, e) gelombang dan cahaya, serta f) listrik, magnet, dan fisika modern. Info fisika / pisa / soal dan pembahasan / soal ujian akhir sma / video.

Kali ini saya akan memberikan dan menshare soal dan penyelesaian dari soal try out mipa yasop 2021.

Demikianlah postingan mengenai soal fisika sma/smk pilihan ganda beserta jawabannya 2020, semoga bermanfaat. Prediksi soal dan pembahasan ujian sekolah fisika. sekolah menengah kejuruan / madrasah aliyah kejuruan. Di bagian menu classwork ujian pas ganjil online. 30 n 2.balok bermassa 20 kg dimasukkan ke dalam air, ternyata sebagian. Artikel artikel berikut berisi kumpulan soal fisika sma tiap bab dan dikelompokan tiap kelas berdasarkan kurikulum tahun 2013 k 13 revisi artikel artikel berikut adalah rintisan yang semoga saja kami dapat. soal un mata pelajaran fisika sma/ma mengukur capaian kognitif pada level pengetahuan dan pemahaman, aplikasi/penerapan, dan penalaran, dalam lingkup materi: Latihan soal un sma tahun 2020. Ingat soal ini hanya untuk latihan saja, ada atau tidaknya dalam ujian yang sebenarnya, kami tidak bisa. Latihan ujian sekolah biologi sma tahun 2021 tahun pelajaran 2020 2021 pendidikan kewarganegaraan pendidikan kewarganegaraan. Usaha, energi, dan pesawat sederhana. soal dan pembahasan materi optik geometri. soal prediksi ujian nasional atau ujian sekolah fisika ini dapat kalian jadikan sebgai bahan untuk latihan dalam menyambut unbk atau usbn tahun 2020 atau tahun pelajaran 2019/2020, ujian sekolah mata pelajaran fisika ini merupakan sebuah prediksi dan bukan merupakan bocoran soal ujian sekolah fisika , karena itu soal ini dibuat memang mirip seperti ujian sekolah umumnya akan tetapi apabila ada.

Artikel artikel berikut berisi kumpulan soal fisika sma tiap bab dan dikelompokan tiap kelas berdasarkan kurikulum tahun 2013 k 13 revisi artikel artikel berikut adalah rintisan yang semoga saja kami dapat. Kode google classroom x mipa 1 : Un sma ips sosiologi 2013. Latihan soal dan kunci jawaban usbn fisika smk 2020. Di dalam surat edaran badan standar nasional pendidikan bsnp.

Usaha, energi, dan pesawat sederhana. Contoh Soal Dan Pembahasan Fisika Sma Kelas Xi Semester 2 Intensivenutri
Contoh Soal Dan Pembahasan Fisika Sma Kelas Xi Semester 2 Intensivenutri from intensivenutri.weebly.com
Download prediksi soal dan contoh soal un matematika sma dan pembahasannya kurikulum tahun ajaran baru 2020 2021 lengkapi soal pilihan ganda ditingkat sekolah menengah pertama diakhir semester. Nih, zenius kasih latihan soal…. Sebelumnya terima kasih banget udah berkunjung dan nonton ke channel. soal us (uas/usbn) ini bisa anda gunaka sebagai referensi dalam belajar untuk mempersiapkan diri dalam menghadapi ujian sekolah (uas/usbn) tahun pelajaran 2019/2020. Aluminium bermassa 500 gram dimasukkan ke dalam bejana berisi air bersuhu 25 c bermassa 400 gram. Untuk selanjutnya khusus persiapan un fisika 2020, admin fsm ( fisika sekolah madrasah blog ) ini juga membuat bermacam try out atau soal latihan beserta pembahasan sesuai kisi kisi dan skl un. Kode google classroom x mipa 1 : Demikianlah postingan mengenai soal fisika sma/smk pilihan ganda beserta jawabannya 2020, semoga bermanfaat.

Prediksi soal dan pembahasan ujian sekolah fisika.

Pembahasan soal on mipa pt fisika tingkat regional 2014 part 2 mekanika kuantum dan fisika. Peserta didik mampu mendeskripsikan kehidupan manusia praaksara dan asalusul nenek moyang bangsa indonesia (melanesoid, proto, dan deutro melayu) 7. Kegiatan cabang olahraga untuk meningkatkan kemampuan prestasinya dalam bentuk kegiatan atau fisik dan saling berhadapan adalah …. Untuk persiapan unbk 2020 yang kemungkinan akan diselenggarakan pada bulan april 2020. Adapun yang dimaksud p enilaian adalah serangakaian kegiatan untuk. soal ujian sekolah smp 2020. Di dalam surat edaran badan standar nasional pendidikan bsnp. Untuk selanjutnya khusus persiapan un fisika 2020, admin fsm ( fisika sekolah madrasah blog ) ini juga membuat bermacam try out atau soal latihan beserta pembahasan sesuai kisi kisi dan skl un. Admin penulis menyukai hal mengenai bisnis, keuangan, internet marketing, otomotif, pendidikan dan telah menyelesikan pendidikan formal magister manajemen Pin oleh wiki pendidikan di wikipedia pendidikan kisi kisi ujian. Kumpulan soal latihan ujian sekolah us uas sma tahun 2021 tahun pelajaran. Sudah siap menghadapi ujian naional yang sebentar lagi akan datang? Hello sobat matematika, pada kesempatan kali ini admin kuncisoalmatematika.com akan membagikan soal ujian sekolah berbasis nasional (usbn) matematika smk tahun pelajaran 2020/2021.

Soal Ujian Sekolah Fisika Smk 2020 : Latihan Soal Dan Pembahasan Un Fisika Sma Smk 2020 Besaran Dan Vektor - Sebelumnya terima kasih banget udah berkunjung dan nonton ke channel.. Latihan soal dan kunci jawaban usbn fisika smk 2020. Admin penulis menyukai hal mengenai bisnis, keuangan, internet marketing, otomotif, pendidikan dan telah menyelesikan pendidikan formal magister manajemen A) pengukuran dan kinematika, b) dinamika, dan c) usaha, energi, dan tumbukan, d) kalor, e) gelombang dan cahaya, serta f) listrik, magnet, dan fisika modern. soal prediksi ujian nasional atau ujian sekolah fisika ini dapat kalian jadikan sebgai bahan untuk latihan dalam menyambut unbk atau usbn tahun 2020 atau tahun pelajaran 2019/2020, ujian sekolah mata pelajaran fisika ini merupakan sebuah prediksi dan bukan merupakan bocoran soal ujian sekolah fisika , karena itu soal ini dibuat memang mirip seperti ujian sekolah umumnya akan tetapi apabila ada. Info fisika / pisa / soal dan pembahasan / soal ujian akhir sma / video.

Posting Komentar untuk "Soal Ujian Sekolah Fisika Smk 2020 : Latihan Soal Dan Pembahasan Un Fisika Sma Smk 2020 Besaran Dan Vektor - Sebelumnya terima kasih banget udah berkunjung dan nonton ke channel."